شدة الإضاءة يضيء مصباحان شاشة بالتساوي بحيث يقع المصباح A على بعد 5 0m ادعمني دوت كوم
حل أسئلة المراجعة درس الاستضاءة أساسيات الضوء العلم نور
شدة الإضاءة يضيء مصباحان شاشة بالتساوي بحيث يقع المصباح A على بعد 5 0 ويقع المصباح B على بعد 3 0 M فإذا كانت شدة إضاءة المصباح 75 Cd A فما شدة إضاءة المصباح
فيزياء Mcgraw Hillمسائل أساسيات الضوء 11 21 Youtube
أساسيات الضوء ص 9 المصدر السعودي
حل أسئلة المراجعة درس الاستضاءة أساسيات الضوء العلم نور
بعد المصدر الضوئي افترض ان مصباحا كهربائيا يضيء سطح مكتبك ويول د ادعمني دوت كوم
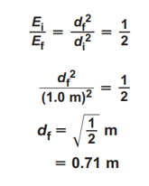
سؤال 9
حل أسئلة المراجعة درس الاستضاءة أساسيات الضوء العلم نور
شدة الاضاءة في مصباحين موصولين على التوازي على نفس فرق الجهد Youtube
أساسيات الضوء ص 9 المصدر السعودي
مصباحان كهربائيان مقاومة أحدهما أكبر من مقاومة الآخر أجب عم ا يلي ادعمني دوت كوم
Https Shms Sa Editor Documents 59208
ب 4 علوم محلولة خامس حمادة محلولة 46 صفحة لق Pages 1 46 Flip Pdf Download Fliphtml5
تعلن إدارة ثانوية الفارابي الاعدادية عن إعدادية الفارابي Facebook
كيفية قياس شدة الضوء ينصح 2020
الوعظ واجهه المستخدم المتشرد هل يولد مصباح كهربائي واحد اضاءة اكبر Unit3studio Org
المعلم الالكتروني الشامل
أساسيات الضوء ص 9 المصدر السعودي
أوراق العمل فيزياء2 ف2 نبيل الملك Pages 1 50 Flip Pdf Download Fliphtml5